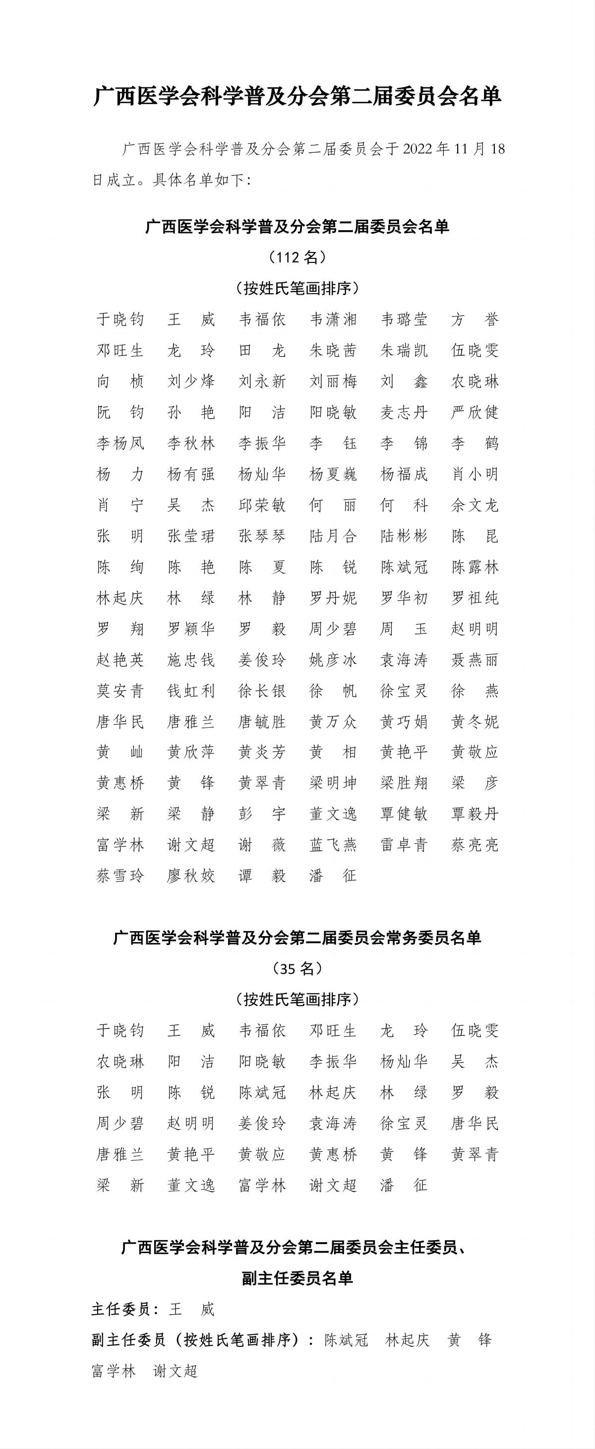
科学普及分会

      委员名单下载