首页
关于学会
学会简介
学会章程
部门介绍
联系我们
党建工作
工作动态
学习文件
组织管理
专科分会
工作动态
会员制度
组织管理系统
学术交流
学会动态
会议通知
会议计划
征文通知
继续教育
政策资讯
培训动态
项目查询
医学鉴定
最新通知
案例分析
相关政策
医学科技奖
会员中心
单位会员
个人会员
信息公开
公示公告:
关于举办“党旗领航——千名学会专家走基层” 2023年广西医学会神经病学分会指南巡讲(玉林站)的通知
组织建设
专科分会
工作动态
会员制度
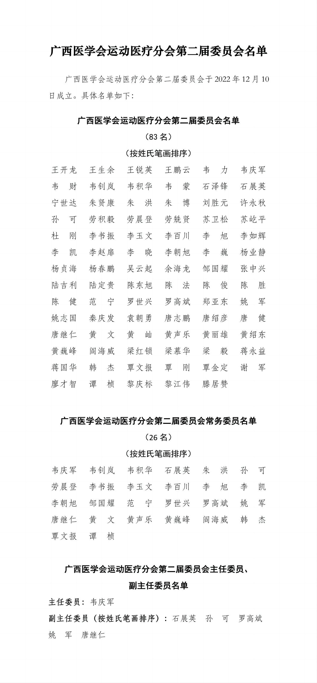
运动医疗分会
委员名单下载
上一篇:
变态反应学分会
下一篇:
显微外科学分会