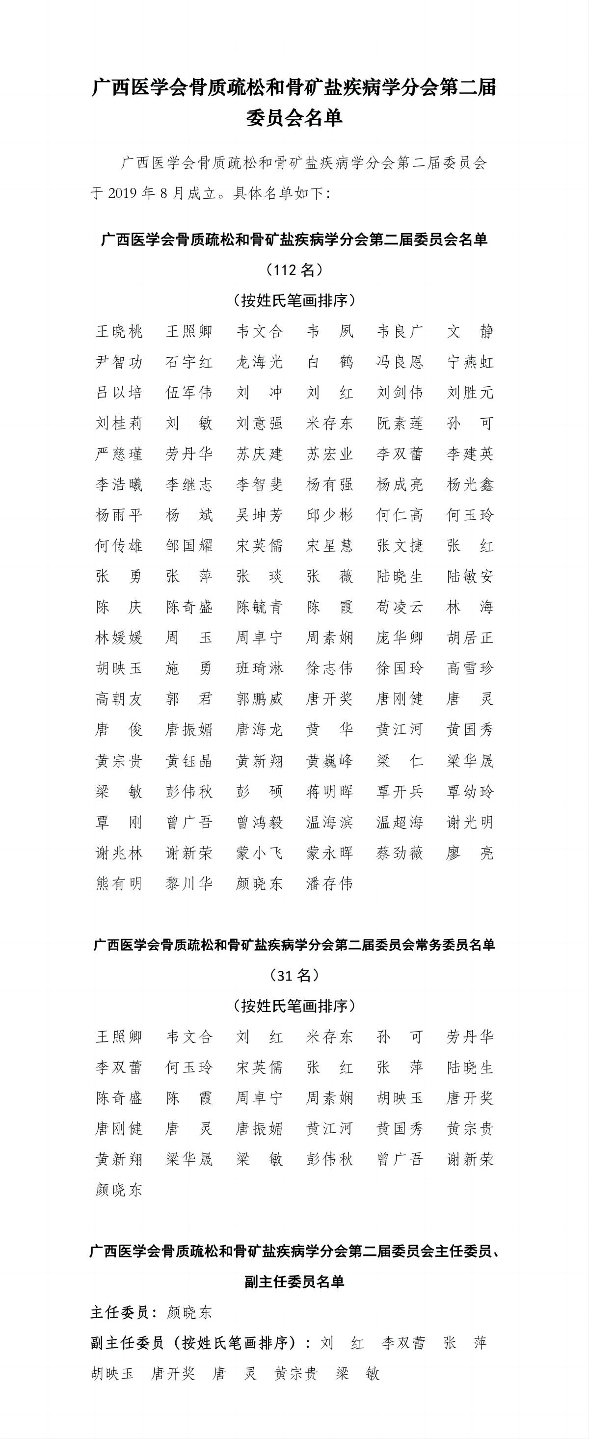
骨质疏松和骨矿盐疾病学分会