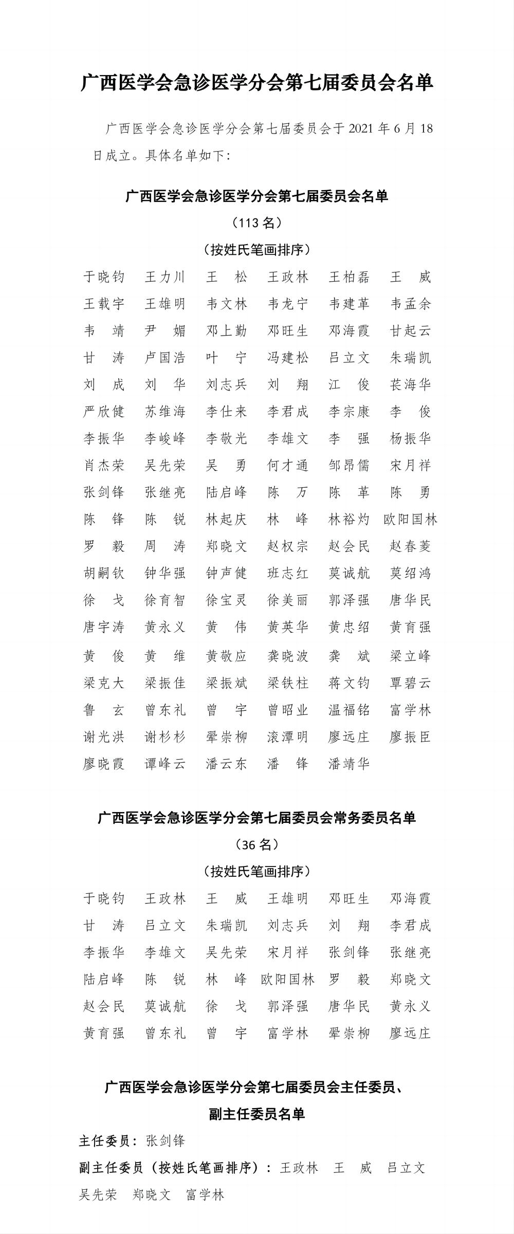
急诊医学分会