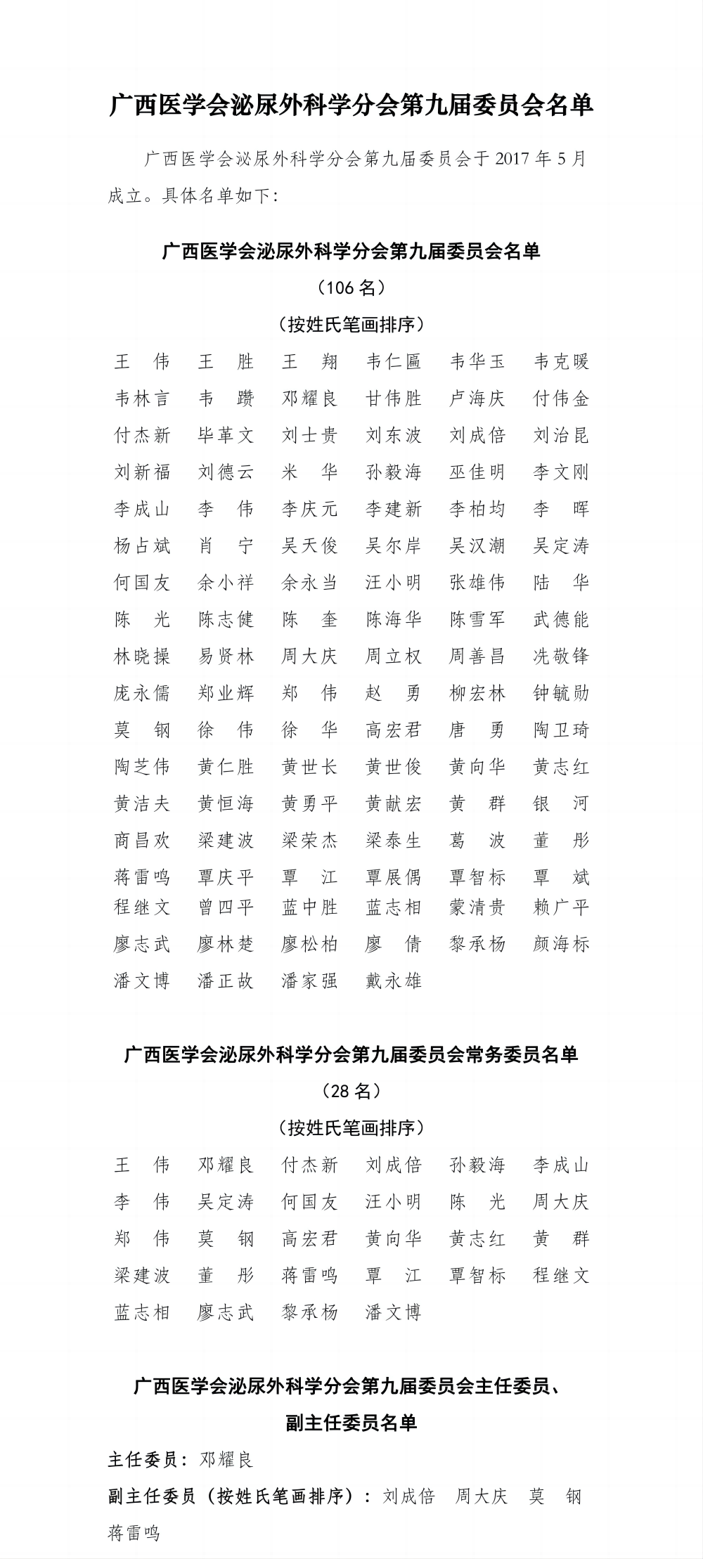
泌尿外科学分会

      委员名单下载